
Fijnstof en gezondheid ging jaren vooral over de emissies door verkeer en industrie. Door flinke verminderingen in de uitstoot van verkeer en industrie is landbouw, en daarbinnen veehouderij, meer in beeld gekomen als bron van fijnstof. Mensen worden op verschillende manieren blootgesteld aan het fijnstof van veehouderij. Direct via stofdeeltjes in de lucht, zoals huidschilfers, deeltjes van veren en haren, voerdeeltjes, mestdeeltjes. En indirect doordat ammoniak dat wordt uitgestoten door de veehouderij in de lucht reageert tot fijnstof deeltjes, zogeheten secundair fijnstof.
Aangezien de fijnstof in de lucht die we inademen altijd een mengsel is van veel verschillende stoffen van veel verschillende bronnen, is het moeilijk om duidelijk aan te wijzen welke bron of welke deeltjes gezondheidseffecten veroorzaakt. In dit kennisbericht wordt daarover de huidige stand van de kennis beschreven.
Het kennisbericht is primair opgesteld voor professionals, die betrokken zijn bij beleids- en besluitvorming en uitvoering op dit terrein. Het bevat geen nieuwe kennis, maar biedt een bundeling van de voorhanden zijnde kennis in het licht van maatschappelijke vragen en waar de kennis lacunes aanwezig zijn. Het doel is dat hiermee het maatschappelijk debat over veehouderij en gezondheid wordt ondersteund.
Een deel van de mensen maakt zich zorgen over hun gezondheid en de gevolgen van de intensiteit van de veehouderij in Nederland, waaronder zorgen over fijnstof. Soms omdat ze weten dat fijnstof in het algemeen tot gezondheidseffecten kan leiden bij mensen, soms vanwege bezorgdheid over micro organismen uit de veehouderij die met het fijnstof door de lucht verspreiden. Dit wordt versterkt wanneer er sprake is van geurhinder, omdat mensen verwachten dat er dan ook blootstelling aan schadelijke stoffen is. Ook speelt mee dat er in het recente verleden problemen waren met het functioneren van luchtwassers, die de fijnstof uitstoot beheersbaar moeten maken. Daarnaast is er sinds enkele jaren ook meer aandacht voor endotoxinen, die in het fijnstof van veehouderijen voorkomen, en de mogelijke gezondheidseffecten daarvan voor omwonenden.
In dit kennisbericht fijnstof en endotoxinen zet het kennisplatform veehouderij en humane gezondheid de bestaande kennis op een rij. Vanwege de recente publicatie van een grote Nederlandse studie over veehouderij en gezondheid omwonenden (VGO), wordt die informatie relatief uitgebreid behandeld.
Wat is fijnstof?
Stof in lucht is de verzameling van alle vaste en vloeibare deeltjes. Een veel gebruikte term is fijnstof, vaak afgekort tot PM10. 'PM' is een Engelse afkorting en staat voor 'Particulate Matter'. De '10' geeft aan dat de stofdeeltjes die deel uitmaken van deze stoffractie kleiner zijn dan 10 micrometer (µm). Binnen PM10 wordt de stoffractie met deeltjes kleiner dan 2,5 µm (PM2,5) onderscheiden. De stoffractie met deeltjes kleiner dan 1,0 µm wordt PM1,0 genoemd. Hoe kleiner de deeltjes, hoe dieper ze in de luchtwegen doordringen.
Het overgrote deel van het fijnstof in de lucht in Nederland is door de mens geproduceerd (antropogeen fijnstof). Stofdeeltjes die direct in de lucht terecht komen van bronnen zoals industrieën, verkeer, land- en tuinbouw en veehouderijen worden primair fijnstof genoemd. Stof afkomstig van veehouderijen bestaat uit mestdeeltjes, voerdeeltjes, huidschilfers, deeltjes van veren en haren die verwaaien vanuit stallen. Stofdeeltjes die gevormd worden door chemische reacties in de atmosfeer worden secundair fijnstof genoemd. Ammoniak uit de veehouderij wordt bijvoorbeeld omgezet in ammoniumnitraat en ammoniumsulfaat. Ongeveer 10% van het fijnstof is niet nader gespecificeerd: dit zijn stofdeeltjes waarvan de herkomst onbekend is.
Waaruit bestaat fijnstof in Nederland?
De belangrijkste bestanddelen van primair en secundair fijnstof in Nederland zijn:
- Primair fijnstof. Deeltjes afkomstig van verbrandingsprocessen in verkeer en industrie, deeltjes die zijn gevormd door slijtage van wegdek, banden, remvoeringen, en deeltjes afkomstig van de landbouw en veehouderij (bodemdeeltjes, mestdeeltjes, voerdeeltjes, huidschilfers, deeltjes van veren en haren).
- Secundair fijnstof. Deze deeltjes bestaan voornamelijk uit ammoniumsulfaat en ammoniumnitraat. Deze bestanddelen zijn vrijwel geheel ontstaan door menselijk handelen (van antropogene oorsprong) en worden in de lucht gevormd uit zwaveldioxide (SO2), stikstofoxiden (NOx) en ammoniak (NH3). Omdat deze deeltjes gevormd worden uit gassen worden ze secundair fijnstof genoemd. De belangrijkste bron van ammoniak is de veehouderij. De belangrijkste bronnen van zwaveldioxide zijn de industrie, de energieproductie, raffinaderijen en zeescheepvaart. De belangrijkste bronnen van stikstofoxiden zijn de verbrandingsprocessen van automotoren (verkeer), industrie, energieproductie, raffinaderijen en de zeescheepvaart.
Binnen primair fijnstof kunnen de volgende categorieën worden onderscheiden:
- Koolstof en koolstof bevattende stoffen. Dit gaat vooral om elementair koolstof (EC) en organische verbindingen van natuurlijke en antropogene (menselijk activiteiten) oorsprong.
- Elementair koolstof in Nederland komt als deeltjes vrij bij verbrandingsprocessen. Organische verbindingen zijn zowel vluchtige organische stoffen (industrie, verkeer) als natuurlijke deeltjes afkomstig van planten, bomen en dieren. De veehouderij draagt bij aan de organische stofdeeltjes via activiteiten in de stallen en op het land.
- Zeezout. Dit ontstaat in de lucht door verdamping van opgespat zeewater. In het westen van het land is de hoeveelheid zeezout enkele µg/m3 hoger dan in het oosten.
- Metalen. In fijnstof zijn metalen aanwezig, voor een deel afkomstig uit het bodemstof, voor een deel afkomstig uit verbrandingsproducten van verkeer en industrie en voor een deel afkomstig van slijtageprocessen (onder andere remmen). Bodemstof komt vooral in de lucht door landbouw (eggen, ploegen, oogsten) en opwervelend stof door verkeer.
Waaruit bestaat fijnstof van veehouderij?
Het primair fijnstof afkomstig van de veehouderij is meestal organisch van samenstelling. Dit zijn dus deeltjes afkomstig van vooral mest, huidschilfers, veren, voer, haren en strooisel. Omdat met name mest maar ook voer beide veel bacteriën bevatten, worden in de omgeving van veehouderijen veel bacteriën en bacteriefragmenten in de lucht gevonden.
Micro-organismen
In de standaard opsomming van de samenstelling van fijnstof missen meestal pollen, micro-organismen zoals schimmels en bacteriën en allerlei stoffen afkomstig van planten, insecten en micro-organismen. Maar juist de veehouderij draagt bij aan het vóórkomen van micro-organismen in de lucht. Dit kunnen micro-organismen zijn die afkomstig zijn van de dieren en ziekten bij de mens kunnen veroorzaken (zoönosen). Een voorbeeld is de Coxiella burnetii bacterie, die tijdens de uitbraakperiode (2007-2010) verwaaide uit geitenbedrijven en Q-koorts veroorzaakte bij omwonenden. Ook kunnen het micro-organismen zijn die resistent zijn tegen antibiotica als gevolg van het antibioticagebruik in de veehouderij. Vaak zijn het micro-organismen die afkomstig zijn van dieren (uit mest), maar niet direct (infectie)ziekten bij de mens kunnen veroorzaken. In het kennisbericht zoönosen en het kennisbericht antibioticaresistentie wordt uitgebreid op micro-organismen ingegaan.
Endotoxinen
Omdat micro-organismen in het fijnstof zitten, worden ook van micro-organismen afkomstige toxinen gevonden. Een belangrijk toxine is het endotoxine. Endotoxinen zijn bouwstenen van de celwand van (Gram-negatieve) bacteriën die toxische effecten op de mens kunnen hebben. Het zijn dode deeltjes, die geen pathogene eigenschappen meer hebben. Wel kunnen endotoxinen na inademing tot gezondheidsklachten leiden. Naast endotoxinen komen ook andere bouwstenen van celwanden van micro-organismen voor in fijnstof. Het gaat dan om peptidoglucanen die afkomstig zijn van Gram-positieve bacteriën of glucanen die afkomstig zijn van schimmels. Deze hebben vaak een vergelijkbare toxische werking, maar omdat endotoxine als een van de meest schadelijke toxines wordt gezien ligt de nadruk vaak op het voorkomen van endotoxinen.
Endotoxine komt niet alleen in het fijnstof voor. Ook in de fractie 10-100 micrometer komen endotoxinen voor. De concentratie endotoxinen (EU/m3) is dus verdeeld over meer dan alleen het fijnstof. Dit is relevant omdat een eigenschap van de grotere deeltjes is dat ze over het algemeen minder ver komen via de lucht en ook minder diep in de luchtwegen dringen. Meer onderzoek is nodig om de invloed van deze eigenschappen bij endotoxinen te bepalen.
Secundair fijnstof en de veehouderij
De meeste ammoniakemissie in Nederland komt van de rundveesector en de mest die daar geproduceerd wordt. Door het relatief hoge aandeel in de ammoniakemissies is de bijdrage van veehouderij aan de secundaire fijnstofvorming hoog. Ammoniak is vooral afkomstig uit urine, wat onderdeel is van mest. Over mest en mestbewerking wordt door het kennisplatform een apart kennisbericht gemaakt.
Secundair fijnstof bevindt zich vooral in de fractie die kleiner is dan 2,5 micrometer, terwijl de primaire fijnstof emissies van landbouw vooral in de fractie 2,5-10 micrometer zit. Vanwege de geringere afmeting en omdat secundair fijnstof pas in de lucht gevormd wordt, kan het over grote afstanden verspreiden.
Wat is de relatieve bijdrage van verschillende bronnen van fijnstof?
In Nederland zijn het verkeer en de industrie de belangrijkste bronnen van de primaire fijnstofuitstoot. De bijdrage van de Nederlandse landbouw (veehouderij en akkerbouw samen) werd in 2013 geschat op circa 25% van de totale Nederlandse uitstoot van 27 miljoen kg primair fijnstof (PM10). Sinds de jaren '90 is de uitstoot van primair fijnstof met ongeveer 50% afgenomen, vooral door maatregelen die genomen zijn voor industriële bronnen en het verkeer. Hierdoor zijn emissies door landbouw nadrukkelijker in beeld gekomen (zie figuur 1).
Figuur 1. Ontwikkeling in de emissie van primair fijnstof per doelgroep in Nederland sinds 1990.
Secundair fijnstof wordt niet meegenomen in de bronberekeningen omdat het in de atmosfeer wordt gevormd. De bijdrage van de veehouderij aan de concentraties secundair fijnstof varieert, maar is veelal meer dan 10%. Op specifieke locaties, bijvoorbeeld in steden, kan secundair fijnstof wel tot 50% uitmaken van de kleinere fijnstofconcentratie (PM2,5). De landbouw is verantwoordelijk voor 90% van de ammoniakemissies in Nederland, met name van de veehouderijen en de mest die daar geproduceerd wordt. Ammoniakemissies van de landbouw zijn sinds 1990 met 70% afgenomen (zie figuur 2), met name in de periode tot 2000 door de verplichting om dierlijke mest emissiearm aan te wenden en door de afname van (de mestproductie door) de veestapel.
Omdat fijnstof (PM10) en met name de kleinere deeltjesfracties van PM10 zoals secundair fijnstof een lange tijd in de atmosfeer aanwezig blijft, kan de verspreiding over grote afstand plaatsvinden. Daarom is de bijdrage van buitenlandse bronnen aan de Nederlandse fijnstofconcentraties groot. Overigens exporteert Nederland meer fijnstof dan er binnen komt en draagt dus ook bij aan de concentraties fijnstof in de lucht in omringende landen. Modelberekeningen laten zien dat twee-derde van het fijnstof in de lucht in Nederland afkomstig is van buitenlandse bronnen. Periodes met verhoogde stofconcentraties in de lucht treden vaak op in situaties met weinig wind en aanvoer van lucht uit oostelijke of zuidelijke richtingen (Duitsland, België). De concentratie fijnstof gaat dan in het hele land omhoog, zowel in de stedelijke als in niet stedelijke gebieden. De bijdrage van zeezout neemt bij die omstandigheden juist af.
Figuur 2. Ontwikkeling in de emissie van ammoniak door land- en tuinbouw sinds 1990.
Waar bij de emissies van primair fijnstof sprake is van een bijdrage van ongeveer 25% van de landbouw (figuur 1), is bij de concentraties van fijnstof (PM10) sprake van een groter aandeel van de landbouw (figuur 3) in de Nederlandse bijdrage. Dit komt doordat hier naast primair fijnstof ook secundair fijnstof is meegenomen. In gebieden met veel veehouderij kan het aandeel landbouw nog groter zijn (>50%).
Figuur 3. Bijdrage van verschillende Nederlandse sectorale bronnen aan de PM10 omgevingsconcentratie (uit Hendriks e.a., 2013).
Waar worden mensen blootgesteld aan fijnstof?
Algemeen
Mensen worden overal blootgesteld aan fijnstof door inademing. Verspreiding van fijnstof vindt plaats in de lucht door de wind en door luchtbewegingen. Ook in de woning komen mensen in aanraking met fijnstof. Dit fijnstof is onder andere afkomstig van producten in huis (slijtage, etcetera), het gebruik van die producten (kooktoestellen, roken, etcetera) en van ons zelf (huidschilfers, etcetera). Iedereen wordt dus blootgesteld, zowel binnen als buiten.
In 2013 bedroeg de Nederlandse jaargemiddelde achtergrondconcentratie van fijnstof (PM10) 20 μg/m3 en van de fijnere fractie van fijnstof (PM2,5) 13 μg/m3. Deze achtergrondconcentratie wordt gevormd door de regionale (grootschalige) en stedelijke achtergrond. Er zijn veel factoren die bijdragen aan de uiteindelijke concentratie fijnstof in de leefomgeving. In grote lijnen neemt de concentratie vanuit het noorden naar het zuiden toe door de toenemende invloed van bronnen in Nederland en het aangrenzende buitenland. Lokale bronnen, zowel verkeer als landbouw, kunnen daardoor sneller tot lokale overschrijding van de fijnstofnormen leiden.
Bovenop de achtergrondconcentratie komt een lokale bijdrage. In stedelijk gebied zijn concentraties vaak hoger dan in landelijk gebied. Daarnaast zijn er verschillen in concentraties fijnstof op korte en grotere afstand van snelwegen en industrieën. In gebieden met veel veehouderij draagt de veehouderij zeker tientallen procenten bij aan de concentratie fijnstof in de lucht. Gedetailleerde schattingen voor concentratiegebieden ontbreken.
Niet alleen de emissies van fijnstof, ook de concentraties zijn de afgelopen decennia flink gedaald. Alleen in sterk verstedelijkte gebieden en in gebieden met veel agrarische activiteit (in het midden en zuiden van Nederland) wordt de norm nog plaatselijk overschreden. Dit komt door de bijdrage van lokale bronnen, in agrarische gebieden vooral door pluimveebedrijven.
Veehouderij
De volgende veehouderijbedrijven stoten in volgorde van afnemende belangrijkheid, in het algemeen het meeste primaire fijnstof uit: pluimveehouderijen, varkenshouderijen, kalverbedrijven, melkvee- en vleesveebedrijven. Vanwege de maatschappelijke wensen voor meer dierenwelzijn is de legpluimveehouderij omgeschakeld naar scharrel- en volière systemen. Deze zorgen voor een veel hogere fijnstof emissie door de legpluimveesector (factor 10 verschil).
Van belang is dat relatief veel omwonenden op korte afstand van veehouderijen wonen. Bijvoorbeeld in Brabant woont naar schatting ongeveer 20% van de bevolking op een afstand korter dan 250 meter van een veehouderij, ongeacht het type veehouderij. In heel Nederland wonen bijna een miljoen burgers op een afstand die korter is dan 1 km van een pluimveebedrijf. Deze groepen omwonenden zijn potentieel blootgesteld aan primair fijnstof afkomstig van veehouderijen. Het gaat dan om het primair en secundair fijnstof, waarbij het ook gaat het om blootstelling aan micro-organismen en endotoxinen.
Veehouderijbedrijven zijn lokale bronnen van fijnstof. Er is het nodige onderzoek gedaan naar de invloed van deze emissies op de lokale concentratie fijnstof, vooral op basis van modelberekeningen. Zo is uitgebreid bekeken hoeveel stof veehouderijbedrijven uitstoten. Voor elke diercategorie en elk stalsysteem is een emissiefactor vastgesteld voor fijnstof. De emissiefactor geeft weer hoeveel fijnstof per dierplaats uit een bepaald type stal in omloop komt, in gewicht (gram) per jaar. Omdat de emissiefactor verschilt voor verschillende diersoorten zijn er voor iedere diersoort (pluimvee, varkens, runderen) verschillende emissiefactoren (zie www.infomil.nl). Aan de hand van deze emissiefactoren kan dus de emissie van een bedrijf met een zekere omvang van de dierpopulatie worden berekend.
Waarom is het een probleem?
Wat is de relevantie van fijnstof voor humane gezondheid?
Er is geen veilige concentratie bekend waaronder geen nadelige effecten optreden als gevolg van blootstelling aan fijnstof. In recente, omvangrijke Europese studies met populaties van tienduizenden personen worden ook gezondheidseffecten gevonden onder de huidige grenswaarden. Die beschermen dus slechts ten dele tegen gezondheidseffecten.
Aangezien veehouderij bijdraagt aan de emissie van primair fijnstof en de vorming van secundair fijnstof, lijkt de veehouderij net als industrie en verkeer een bijdrage te leveren aan schadelijke gezondheidseffecten zoals die voor fijnstof worden gezien. Van belang is dat secundair fijnstof in verband met de kleine deeltjesgrootte (PM2,5) over lange afstanden kan worden getransporteerd. Eventuele veehouderij geassocieerde secundair fijnstof effecten zullen zich als gevolg hiervan niet beperken tot gebieden met veel veehouderij.
Inademing van het mengsel van fijnstof in de lucht kan tot een reeks aan gezondheidseffecten leiden, zoals longontsteking, verergering van astma en COPD, hart- en vaatziekten, longkanker, vroegtijdige sterfte, ziekenhuisopnames, etcetera. Daarnaast zijn er studies die samenhang suggereren tussen de concentratie fijnstof in de leefomgeving en het voorkomen van neurologische aandoeningen en chronische aandoeningen als diabetes. Echter, deze verbanden worden nog niet als oorzakelijk gezien, er is ook relatief weinig onderzoek naar gedaan en er bestaat nog de nodige onzekerheid over deze verbanden.
Afgelopen jaren is veel onderzoek verricht naar de specifieke componenten van fijnstof die verantwoordelijk zijn voor de waargenomen gezondheidseffecten. Volgens een rapport van de Wereldgezondheidsorganisatie (WHO (World Health Organization (Wereldgezondheidsorganisatie) )) uit 2013 kunnen de elementair koolstoffractie (roet), de secundaire organische deeltjesfractie (zoals vluchtige stoffen) en anorganische deeltjesfractie (zoals ammoniumnitraat) van fijnstof in verband worden gebracht met verschillende gezondheidseffecten. Maar het is niet bekend welke rol deze individuele componenten spelen in het ontstaan van gezondheidseffecten. Wel kunnen deze componenten gebruikt worden voor onderzoek om meer inzicht te brengen in de samenhang van gezondheidseffecten met verschillende bronnen, zoals de veehouderij.
Secundair fijnstof blootstelling is in meerdere studies in verband gebracht met een verhoogde kans op sterfte onder andere door hart en vaatziekten. Daarnaast zijn er associaties met verergering van astma. Het is op dit moment onbekend welke rol secundair fijnstof speelt in het ontstaan van gezondheidseffecten en dus is niet uit te sluiten dat het secundair fijnstof gezondheidseffecten veroorzaakt.
Recent is een modelleringsstudie op wereldschaal uitgevoerd, waarvan de resultaten niet vertaald zijn naar de specifieke Nederlandse situatie. De onderzoekers concluderen dat ongeveer 20% van de vroegtijdige sterfte die optreedt door luchtverontreiniging in de fractie PM2,5 aan de landbouw kan worden toegeschreven (niet specifiek de veehouderij) (Lelieveld e.a., 2015).
Wat is de relevantie van endotoxinen voor humane gezondheid?
Of endotoxinen die afkomstig zijn van de veehouderij effecten hebben op de gezondheid van omwonenden is tot op heden niet direct onderzocht. Wel is bekend dat mensen die op korte afstand wonen van met name pluimveebedrijven, een relatief verhoogde blootstelling kunnen hebben, waarbij effecten verwacht mogen worden. Daarbij gaat het niet zozeer over de jaargemiddelde blootstelling (in figuur 3a+b is deze bijvoorbeeld heel laag), maar om de pieken in de blootstelling (4 tot 8 uur).
Endotoxinen kunnen via inademing acute luchtwegklachten en chronische effecten op de luchtwegen (niet allergische astma en COPD) veroorzaken. Deze effecten zijn beschreven vanaf niveaus van ongeveer 100 Endotoxine Units gedurende een werkdag (8 uur), in studies onder werknemers. Daarnaast kunnen endotoxinen het zogenaamde "Organic Dust Toxic Syndrom (ODTS)" veroorzaken. Dit komt voor onder veehouders en werknemers in de veehouderij. ODTS is niet bij personen te verwachten die in de buurt van veehouderijbedrijven vertoeven, gezien de nu bekende niveaus endotoxine in de lucht. ODTS treedt op na (zeer) hoge blootstelling aan endotoxinen en gaat gepaard met griepachtige verschijnselen (koorts, rillingen, transpireren). De endotoxine concentratie wordt uitgedrukt in endotoxine units (eenheden) per m3 lucht. De concentraties waarbij ODTS optreedt zijn niet exact beschreven maar zijn vaak meer dan 500-1000 EU/m3. De klachten zijn meestal na een dag weer verdwenen.
Waar worden mensen blootgesteld aan endotoxinen?
Verhoogde blootstelling lijkt zich te concentreren rond pluimveebedrijven, maar mogelijk dat door aanwezigheid van meerdere veehouderijbedrijven - en dan zijn met name varkensbedrijven relevant - cumulatie optreedt en ook in die situatie verhoogde concentraties op kunnen treden. Daarnaast is niet bekend hoeveel mensen in Nederland mogelijk aan verhoogde concentraties endotoxine blootstaan.
Overal waar micro-organismen zijn worden endotoxinen gevonden. Micro-organismen groeien ook op planten en komen van nature in de bodem voor. Dit zijn natuurlijke bronnen van endotoxine. Die leiden in de lucht tot een achtergrondniveau aan endotoxinen. Op basis van enkele Nederlandse studies van beperkte omvang en buitenlandse studies bestaat enig inzicht in de endotoxineconcentraties rond veehouderijen. De achtergrondconcentraties zijn zeer laag en bedragen, op incidentele afwijkingen na, minder dan 1 tot enkele eenheden endotoxinen per kubieke meter (EU/m3). Wel blijkt uit diverse meet- en modelleringsstudies dat de veehouderij lokaal aanzienlijk kan bijdragen aan een verhoogde endotoxineconcentratie in de lucht. Vooral bij pluimveebedrijven maar ook bij varkensbedrijven worden concentraties gevonden waarbij effecten op de luchtwegen kunnen optreden (meer dan 30 EU/m3 gedurende 4 tot 8 uur).
Modelberekeningen
In een aantal verkennende projecten is de emissie van een aantal verschillende bedrijfstypen (vleeskuikens, leghennen, vleesvarkens) aan stof en endotoxine in kaart gebracht. Op basis van verspreidingsmodellen is gekeken of het huidige beoordelingskader voor geurhinder en fijnstof (PM10) voldoende bescherming biedt voor endotoxinen (Winkel, et al. 2014; Ogink et al. 2016). Uit het onderzoek blijkt dat het bestaande beoordelingskader onvoldoende bescherming biedt tegen endotoxine. Er worden afstanden berekend tot op enkele honderden meters waar mogelijk enkele keren tot tientallen keren per jaar de door de Gezondheidsraad voorgestelde grenswaarde van 30 EU/m3 over perioden van 4 tot 8 uur overschreden wordt. Berekeningen voor vleesvarken bedrijven geven aan dat de geurnormering mogelijk voldoende beschermend kan werken.
Er zijn geen situaties doorgerekend met meerdere bronnen in een relatief klein gebied waar cumulatie effecten op kunnen treden. Dit is relevant omdat in meerdere gebieden in Nederland een aanzienlijk deel van de populatie op afstanden van minder dan 250 meter van meerdere bronnen wonen. In dergelijke situaties kunnen mogelijk ook andere diercategorieën dan pluimvee een overschrijding van kritische endotoxine-grenzen veroorzaken. Een gebiedsstudie, om te onderzoeken op welke locaties rond veehouderijbedrijven cumulatie effecten optreden, is wenselijk. Verwacht wordt dat op een termijn van 1 tot 2 jaar hier meer informatie over beschikbaar komt.
Metingen
Er zijn enkele studies waarin metingen zijn gedaan rond veehouderijen. Daar is niet specifiek naar de verhoogde blootstellingsepisodes (pieken) onderzoek gedaan, wat voor gezondheid in relatie tot endotoxinen relevanter is.
Een meetstudie gekoppeld aan een studie van Radon e.a. (2007) liet zien dat de blootstelling aan endotoxinen in de buitenlucht in een gebied met intensieve veehouderij verhoogd was ten opzichte van stedelijk gebied (Schulze e.a. 2006). In twee recente Nederlandse studies - Intensieve Veehouderij en Gezondheid (IVG) en Veehouderij en Gezondheid Omwonenden (VGO) - zijn metingen rond varkens- en pluimveebedrijven uitgevoerd (Heederik & IJzermans, 2011; Maassen e.a., 2016). De concentraties endotoxine in zowel varkens- als pluimveestallen zijn hoog en waren vrijwel altijd hoger dan 1.000 endotoxine-eenheden per kubieke meter lucht [EU/m3]. Buiten de stallen zijn de benedenwindse endotoxineconcentraties veelal verhoogd ten opzichte van de bovenwindse concentratie. De afstand tot waar hogere concentraties dan het achtergrondniveau gemeten werden verschilde sterk per type veehouderij. Bij varkensbedrijven daalden de concentraties gemiddeld na 25-50 meter al tot het achtergrondniveau, terwijl bij pluimveebedrijven ook op afstanden van 100 meter benedenwinds nog concentraties enigszins boven het achtergrondniveau gemeten werden. Aangezien het een verkennende studie betrof, bevatten dergelijke afstanden veel onzekerheden.
In het VGO-onderzoek zijn jaargemiddelde endotoxineconcentraties gemeten op 62 locaties op leefniveau. De meetlocaties waren in bewoond gebied op verschillende afstanden van veehouderijen en op locaties met een verschil in veehouderijdichtheid. Deze metingen laten zien dat bewoonde gebieden dichterbij veehouderijbedrijven hoger zijn belast (figuur 4a+b). Vooral worden hogere jaargemiddelde concentraties gezien op meetpunten met veel (20+) veehouderijbedrijven in een straal van 1000 meter. Endotoxinen worden verondersteld vooral tot gezondheidseffecten te leiden na een relatief acute (korte) hoge blootstelling. Hier heeft de Gezondheidsraad een grenswaarde voor geadviseerd van 30 EU/m3 gedurende 4 tot 8 uur. Er zijn op dit moment nog geen langere meetseries beschikbaar met metingen die over relatief kortere duur (tot bijvoorbeeld vier uur) zijn genomen. Eerder genoemde associaties geven wel aanleiding om dergelijke gegevens te gaan verzamelen.
Figuur 4a+b. Relaties tussen gemeten jaargemiddelde endotoxine concentraties en de nabijheid van veehouderij-bedrijven en aantallen veehouderijbedrijven in een straal van 1000 meter rond het meetpunt (Maassen e.a., 2016; blauwe lijn: gefitte relatie, rode lijn betrouwbaarheidsinterval).
Waar maken mensen zich zorgen over?
Recent zijn resultaten van de grote Nederlandse studie Veehouderij en Gezondheid Omwonenden (VGO) beschikbaar gekomen. Deze paragraaf begint daarom met een aantal algemene conclusies op basis van VGO en daarna enkele aanvullende inzichten uit de internationale wetenschappelijke literatuur. Aan het eind van dit kennisbericht, onder de kop 'Nederlandse studies; de IVG en VGO-studies' wordt uitgebreidere informatie gegeven over de conclusies.
Heeft het wonen naast een veehouderij effect op je gezondheid?
Ja, zowel positief als negatief. Vooral COPD-patiënten die in gebieden wonen met meer dan 17 bedrijven binnen 1 km afstand merken een negatief effect op hun gezondheid. In het algemeen is de longfunctie verminderd van mensen die bij veel veehouderijen wonen en komen in de buurt van veehouderijen longontstekingen iets vaker voor.
COPD en verergering van klachten
COPD-patiënten die dichtbij een veehouderij of in de buurt van veel veehouderijen wonen, hebben grotere kans op ernstigere klachten. Ook gebruiken zij vaker luchtwegmedicatie. Deze bevinding komt in meerdere analyses naar voren, wat de bevinding sterker maakt. COPD-patiënten vormen dus een belangrijke risicogroep voor luchtweg-gerelateerde gezondheidseffecten in relatie tot veehouderijen.
Verminderde longfunctie door wonen rond veehouderij
Uit het VGO-onderzoek komen aanwijzingen naar voren dat het wonen in de buurt van veehouderijen een nadelig effect heeft op de longfunctie. Dit effect wordt gevonden bij mensen die veel veehouderijen in hun directe omgeving hebben, vooral bij de groep met 15 of meer bedrijven binnen een kilometer afstand. Het is het meest waarschijnlijk dat deze verandering veroorzaakt wordt door de blootstelling aan stoffen afkomstig van veehouderijen.
Een belangrijke buitenlandse studie in dit verband is die van Radon e.a. (2007) die in een omvangrijke studie in Nedersaksen, Duitsland, onder 6937 omwonenden liet zien, dat de onderzochte personen een significant lagere longfunctie (7%) hadden en twee maal zo vaak klachten van de luchtwegen (piepende ademhaling) als een controlegroep als ze op minder dan 500 meter van minstens 12 veehouderijen woonden. Klinisch hebben dergelijke verlagingen in de longfunctie weliswaar weinig betekenis, maar op populatieniveau betekent dit dat er meer personen zijn met een afwijkende longfunctie. De symptomen namen toe naarmate er grotere hinder werd ervaren van (door veehouderij veroorzaakte) stank.
In een studie uit de Verenigde Staten is een verband gevonden tussen acute klachten van ogen, neus en hogere luchtwegen rond veehouderijen in samenhang met de PM10 en PM2.5 fijnstof concentratie en de concentratie waterstofsulfide (H2S) in de lucht (Schinasi e.a., 2011). Een toename in klachten werd gevonden op dagen met meer veehouderij-gerelateerde luchtverontreiniging en de klachten gingen gepaard met een acute, korte termijn, verlaging van de longfunctie. De toename in endotoxineconcentratie was ook statistisch significant geassocieerd met een toename in klachten van keel en luchtwegen. Een relatie met de afstand tot een veehouderij is in deze studie niet nader onderzocht. Wat de veehouderij betreft zijn nog twee relevante studies waar naar de endotoxineblootstelling is gekeken; Rich et al. (2013); Strickland et al. (2014).
Minder astma en allergie rondom veehouderijen
Het VGO-onderzoek bevestigt eerdere bevindingen dat astma en neusallergieën minder voorkomen bij mensen die op korte afstand wonen van veehouderijen. Voor allergisch astma en andere allergieën was al langer bekend dat deze minder vaak voorkomen bij mensen die op een boerderij zijn opgegroeid. Uit dit onderzoek blijkt dat dit ook geldt voor mensen die op korte afstand van een veehouderij wonen.
Er zijn zeer veel studies uitgevoerd, met name onder agrarische kinderen, die aantonen dat blootstelling aan micro-organismen en hun toxinen (o.a. endotoxinen) afkomstig van de veehouderij leidt tot minder allergie. Dit is inmiddels in een groot aantal studies gevonden en hierbij is steeds meer inzicht ontstaan in de onderliggende mechanismen die tot deze beschermende effecten leiden. Zo bestaan er veel studies waaruit blijkt dat er een relatie is tussen verhoogde endotoxineniveaus en in verminderde mate voorkomen van allergieën. In dit verband is het belangrijk dat veel omwonenden van veehouderijbedrijven ooit zijn opgegroeid op veehouderijbedrijven en daardoor mogelijk een andere gevoeligheid hebben voor stof en micro-organismen. Ook komen onder deze groep minder vaak allergieën voor.
In de studie van Radon e.a. (2007) is op een selectie van 810 personen uitgebreider medisch onderzoek uitgevoerd. Het voorkomen van allergie was niet duidelijk geassocieerd met de aanwezigheid van meer bedrijven rond de eigen woning. Het aantal omwonenden met bronchiale hyperreactiviteit, een maat voor de aanwezigheid van astma, nam af met een toenemend aantal bedrijven rond het woonhuis. Deze afname is eigenaardig, gezien de toename in het voorkomen van klachten en afname van de longfunctie met toenemend aantal bedrijven in de nabijheid en wijst mogelijk op zelfselectie, maar dit is in de studie niet nader onderzocht.
Parallel aan de studies van Radon e.a., is een grote studie gepubliceerd onder bijna 8000 5-6 jaar oude kinderen in Nedersaksen, Duitsland (Hoopman e.a., 2006). Kinderen met allergie tegen bekende oorzaken van allergie (huisstofmijt, huisdieren) hebben vaker klachten in geval van verhoogde endotoxine blootstelling rond de woning afkomstig van de veehouderij. De endotoxine blootstelling is in kaart gebracht door de emissie van veehouderijbedrijven met verspreidingsmodellen te modelleren.
Kan de veehouderij invloed hebben op de longen van mensen die verder van veehouderijen afwonen?
Ja. Mensen in de hele VGO-regio hebben een lagere longfunctie wanneer de concentratie ammoniak in de lucht hoog is (geweest). Ammoniak is afkomstig van mest en dit kan reageren met andere stoffen in de lucht tot secundair fijnstof. Deze deeltjes kunnen zich over grote afstand verplaatsen en hebben waarschijnlijk in een groot gebied invloed op de longfunctie. De effecten van blootstelling aan ammoniak zijn vergelijkbaar met die van blootstelling aan verkeer in de stad.
Er zijn ook studies uitgevoerd gericht op het vaststellen van associaties met ammoniak in de lucht rond veehouderijen. In een heranalyse van de studie van Radon e.a. door Schulze e.a. (2011) bleek de longfunctie samen te hangen met de ruimtelijke ammoniak profielen. De ammoniak profielen moeten waarschijnlijk als indicator worden gezien van alle mogelijke emissies van veehouderijen, inclusief fijnstof en endotoxinen.
Daarnaast zijn er ook studies waarin is gekeken naar associaties tussen de ammoniak blootstelling op verschillende dagen en de longfunctie van studiedeelnemers op die dagen of direct na dagen met een verhoogd ammoniakniveau. Een voorbeeld is de studie van Loftus e.a. (2015) onder Amerikaanse kinderen met astma die gedurende enkele maanden werden gevolgd. Gedurende deze tijd werden astma-aanvallen en medicijngebruik geregistreerd en de longfunctie gemeten. Longfunctieveranderingen hingen sterk samen met de (hoogte van de) NH3-blootstelling die in hoge mate werd bepaald door de aanwezigheid van intensieve veehouderijbedrijven. In dezelfde populatie werden ook associaties gevonden tussen PM2.5-niveaus, astmamorbiditeit en acute longfunctieveranderingen (Loftus et al., 2015).
Daarnaast zijn er meerdere recente epidemiologische studies die niet in agrarische gebieden zijn uitgevoerd maar wel wijzen op effecten op de gezondheid (waaronder acute opnames van kinderen voor astma en cardiovasculaire effecten onder volwassenen) die specifiek geassocieerd zijn met markers voor de secundair fijnstof fractie (NH3, nitraat) (Rich et al., 2013; Chen et al., 2014; Strickland et al., 2014). In een Nederlandse epidemiologische studie is eerder het verband beschreven tussen nitraat in PM10 en dagelijkse sterfte aan hart- en vaatziekten (Hoek et al., 2000).
Maakt het voor je gezondheid uit naast welk soort veehouderij je woont?
Alleen bij longontstekingen vinden de onderzoekers een effect als je kijkt naar het soort dieren dat op een veehouderij gehouden wordt. Rondom pluimveehouderijen hebben mensen vaker longontstekingen. Per 100.000 bewoners in het VGO-gebied (het oosten van Noord-Brabant en het noorden van Limburg) komen jaarlijks 1.500 longontstekingen voor. Daarvan zijn er 150 (10%) in verband te brengen met de aanwezigheid van pluimveehouderijen. Het is niet uit te sluiten dat andere typen veehouderijen ook bijdragen aan de verhoogde kans op longontsteking in verschillende landelijke gebieden. Andere effecten op de luchtwegen lijken niet met een bepaald type veehouderij samen te hangen.
Specifieke studies naar gezondheidseffecten door veehouderijbedrijven
Er zijn niet veel studies uitgevoerd naar de veehouderij en gezondheidseffecten. Een belangrijk deel van de studie betreft wat wordt genoemd ecologische studies. Gezondheidsgegevens worden op het niveau van een school, wijk, stad of gebied vergeleken met andere scholen, wijken, steden of gebieden. Andere verschillen dan de aanwezigheid van veehouderij kunnen verschillen in gezondheid mogelijk ook of mede-verklaren. Dergelijke studies kunnen daarom niet meer dan aanwijzingen geven voor mogelijke relaties tussen veehouderij en gezondheid en worden hier verder niet besproken. Kwalitatief beter zijn de in dit hoofdstuk besproken studies waarin op het niveau van individuen de gezondheid is onderzocht en gerelateerd aan de blootstelling van die individuen. Dit soort studies is maar in beperkte mate uitgevoerd specifiek gericht op de relatie veehouderij en gezondheid (zie ook 'Wat weten we nog niet?').
Wat wordt er al gedaan?
Fijnstof
Op basis van studies naar gezondheidseffecten bij de mens zijn voorstellen gedaan voor grenswaarden voor de concentratie fijnstof in de lucht om zo het risico op gezondheidseffecten te verminderen. De WHO stelt als advieswaarde voor fijnstof (PM10) een jaargemiddelde van maximaal 20 μg/m³ voor. Voor het jaargemiddelde van de fijnere fractie van fijnstof (PM2,5) stelt de WHO een grenswaarde van 10 μg/m³ voor. Het overgrote deel van de Nederlandse en Europese bevolking wordt blootgesteld aan meer fijnstof dan deze advieswaarden aangeven.
De Europese grenswaarde voor de jaargemiddelde concentratie van fijnstof (PM10) van 40 μg/m³ moet bescherming bieden tegen de langetermijneffecten. De grenswaarde voor het daggemiddelde (niet meer dan 35 dagen met een gemiddelde concentratie boven 50 μg/m³) moet bescherming bieden tegen effecten door acute blootstelling aan fijnstof. Op basis van gemeten concentraties is vastgesteld dat een jaargemiddelde fijnstofconcentratie van 31 μg/m³ correspondeert met 35 dagen met een daggemiddelde concentratie boven de 50 μg/m³. Deze afgeleide grenswaarde van 31 μg/m³ is daarmee in de praktijk strenger dan die voor het jaargemiddelde.
Voor PM2,5 geldt een jaargemiddelde concentratie van 25 μg/m3 als grenswaarde. Daarnaast is er een aanpak om de blootstelling van de Europese bevolking aan PM2,5 generiek terug te dringen, waarbij ook voor Nederland een verminderingsdoelstelling voor de concentraties in de leefomgeving van mensen is vastgesteld in de periode tot 2020.
Afgelopen jaren zijn zeer grote Europese en Noord-Amerikaanse studies uitgevoerd naar fijnstof blootstelling en gezondheidseffecten. Dit heeft beter inzicht gegeven in de gezondheidseffecten van fijnstof. Deze gezondheidseffecten zijn al zichtbaar onder de huidige WHO-advieswaarden (die aanzienlijk lager zijn dan EU-grenswaarden). Dit heeft tot discussie geleid over bijstelling van deze grenswaarden. Het ministerie van IenM overlegt met de Gezondheidsraad over het introduceren van streefwaarden om de luchtkwaliteit te blijven verbeteren, ook als de grenswaarden niet worden overschreden (Verslag AO Leefomgeving, 11 februari 2016).
De Europese Commissie heeft ook voorstellen gedaan voor nieuwe emissieplafonds (National Emission Ceilings (NECs)), die bepalen hoeveel er totaal door een land mag worden uitgestoten. Doel is de gezondheidsrisico’s en ecologische impact van luchtverontreiniging verder aan te pakken. Deze NECs gaan over de gassen die leiden tot de vorming van secundair fijnstof en hier wordt nu ook PM2,5 aan toegevoegd. De reductiepercentages die voor de verschillende emissies voor het jaar 2020 worden voorgesteld verschillen sterk; voor SOx 59%, voor NOx 42% en voor NH3 slechts 6%. Aangezien ammoniak (NH3) een beperkende factor voor de vorming van secundair fijnstof is, zal elk percentage afname van NH3 tot grotere afname van secundair fijnstof leiden dan geldt voor de andere gassen. Voor 2025 en 2030 worden grotere reducties voorgesteld, waarover in Europa besluitvorming zal plaatsvinden.
Endotoxinen
De Gezondheidsraad heeft voor endotoxinen voor de werkomgeving een voorstel gedaan voor een nieuwe grenswaarde. Deze ligt op 90 EU/m3, gemiddeld over 8 uur. Deze grenswaarde is goed onderbouwd op basis van experimentele studies (inhalatiestudies) bij mensen en onderzoeken onder diverse groepen beroepsmatig blootgestelde mensen. In het merendeel van de pluimvee- en varkenshouderijen wordt deze grenswaarde ruimschoots overschreden. Dit voorstel ligt sinds 2010 bij de Sociaal Economische Raad. De Sociaal Economische Raad heeft al geruime tijd de intentie de Minister van Sociale Zaken te adviseren over deze grenswaarde, maar is nog niet tot een eensluidend advies gekomen.
Voor endotoxinen in de buitenlucht (op leefniveau) heeft de Gezondheidsraad een grenswaarde van 30 EU/m3 geadviseerd rond veehouderijen, gemiddeld over 4 tot 8 uur. Acute klachten na kortdurende blootstelling worden als het kritische effect gezien. Ook wordt verondersteld dat deze grenswaarden beschermen tegen het optreden van effecten als gevolg van chronische blootstelling. Deze norm is afgeleid van de grenswaarde voor endotoxine in de werkomgeving van 90 EU/m3 en wordt geacht meer rekening te houden met gevoelige groepen die onderdeel uitmaken van de algemene bevolking. Er is op dit moment geen onderzoekinformatie beschikbaar die aangeeft in welke situaties deze grenswaarde wordt overschreden en of in het gebied tussen de 30 en 90 EU/m3 ook werkelijk gezondheidseffecten voorkomen bij omwonenden van veehouderijen. Verwacht wordt dat op een termijn van 1 tot 2 jaar hier meer informatie over beschikbaar komt. Voor nu beperken de inzichten zich tot de relaties met afstanden.
Maatregelen
Er wordt al het nodige gedaan om bijvoorbeeld fijnstofemissies te beperken. Meer informatie over het wettelijk kader en voorgenomen reductiemaatregelen kan worden gevonden op de website: www.infomil.nl. Onder andere is hier ook informatie te vinden over de eerder ingezette reductiemaatregelen voor emissie van fijnstof door pluimveebedrijven in het besluit huisvesting pluimvee.
Er is behoefte aan meer inzicht over de effectiviteit van mogelijke maatregelen om belasting van de omgeving te voorkomen of te beperken. Voor de pluimveesector is een studie uitgevoerd (Winkel et al., 2016) naar additionele stalmaatregelen om de uitstoot van bio-aerosolen te verminderen. De inventarisatie heeft meer dan 80 mogelijke maatregelen opgeleverd waarvan een beperkt deel (16) als perspectiefvol wordt aangemerkt. Voorbeelden zijn strooiselmanagement, olieverneveling in strooiselstallen, ionisatietechnieken in de stal of het ventilatiesysteem ('end of pipe'). Enkele van deze maatregelen hebben een hoog rendement (50-70%), maar geen effecten op andere emissies (ammoniak, geur, broeikas gassen). 'End of pipe' technieken zoals luchtwassers vragen in een aantal gevallen nog verdere doorontwikkeling en hebben potentieel nadelige effecten op het stalklimaat, het dierenwelzijn en/of de energiekosten. Alternatieve oplossingen vragen om volledige systeeminnovaties die alleen op de langere termijn kunnen worden gerealiseerd.
Wat weten we nog niet?
Kennislacunes voor fijnstof van veehouderij en humane gezondheid
De grootste lacune is de ontbrekende kennis over gezondheidsrisico’s die mogelijk samenhangen met fijnstof uit de veehouderij. Het gaat dan zowel om primair als secundair fijnstof. De specifieke rol van fijnstof afkomstig van veehouderijen bij het veroorzaken van gezondheidseffecten is onduidelijk. Ook is onbekend hoe de blootstelling aan en effecten van fijnstof rond veehouderijen zich verhouden tot blootstelling aan en effecten veroorzaakt door fijnstof afkomstig van verkeersemissies. Ter vergelijking, er zijn honderden studies verricht die directe relaties tussen fijnstof afkomstig van verkeer en gezondheidseffecten bij omwonenden laten zien voor verschillende gezondheidseffecten, waaronder zowel acute als chronische effecten. Daarnaast zijn uiteenlopende studiedesigns toegepast, en minstens zoveel experimentele studies uitgevoerd op proefdieren, met cellijnen, etc. Het wetenschappelijk bewijs voor associaties tussen verkeersemissies en gezondheidseffecten is dus zeer omvangrijk.
De resultaten van de VGO-studie roepen nieuwe vragen op, vooral omtrent de endotoxine blootstelling en de secundair fijnstof blootstelling in relatie tot het optreden van gezondheidseffecten. Daarnaast zijn er vragen over blootstelling aan veehouderij gerelateerde vormen van luchtverontreiniging in de veehouderijketen, gezondheidsrisico’s van de aanwending van mest, mestmanagement en ammoniak emissies, en vragen naar mogelijke maatregelen.
De belangrijkste vragen rond fijnstof afkomstig van de veehouderij zijn:
- De samenstelling van fijnstof afkomstig van de veehouderij is op korte afstand van veehouderijen anders dan de samenstelling van fijnstof afkomstig van bij voorbeeld verkeer. Leidt dit ook tot andere gezondheidsrisico's?
- In Nederland is het achtergrondniveau fijnstof hoog door de eigen productie (verkeer in stedelijk gebied) en import (fijnstof dat door de lucht vanuit omringende landen wordt geïmporteerd). Brengt de relatief hoge blootstelling aan de combinatie fijnstof afkomstig van verkeer en veehouderij nog specifieke andere risico’s met zich mee?
- Wat zijn de mogelijkheden om de emissie van fijnstof afkomstig van veehouderijen te reduceren? Er is behoefte aan meer inzicht over de effectiviteit van mogelijke maatregelen om belasting van de omgeving te voorkomen of te beperken. Een eerste aanzet is gedaan met de studie die voor de pluimveesector is uitgevoerd (Winkel et al., 2016) naar additionele stalmaatregelen om de uitstoot van bio-aerosolen te verminderen.
Kennislacunes voor endotoxinen van veehouderij en humane gezondheid
Er is weinig twijfel over de effecten van blootstelling aan endotoxinen op de gezondheid. Deze effecten zijn echter vooral beschreven bij werknemers met een 10-1.000 maal hogere blootstelling dan omwonenden. Er is nog heel weinig bekend over de blootstelling aan endotoxinen van omwonenden. Hoe groot is de blootstelling van omwonenden? Gedurende welke periode? Welke factoren hangen samen met een hogere of lagere endotoxineblootstelling van omwonenden?
Kennis over gezondheidseffecten bij omwonenden door blootstelling aan endotoxinehoudend stof vanuit de veehouderij is beperkt. Er zijn een beperkt aantal studies uitgevoerd naar gezondheidseffecten onder omwonenden door emissie afkomstig van veehouderijbedrijven en maar enkele hebben een directe relatie tussen endotoxine en gezondheidseffecten onderzocht. Vooral op grond van onderzoek onder werknemers zijn effecten te verwachten bij omwonenden op basis van de beperkte studies waarin endotoxineniveaus rond veehouderijen zijn gemeten. Of dit werkelijk zo is weten we niet. Daarvoor zijn de studies te oriënterend van karakter. Er zijn nog geen studies onder omwonenden beschikbaar die directe relaties tussen endotoxineniveaus en luchtwegklachten hebben onderzocht.
De belangrijkste vragen rond endotoxine afkomstig van de veehouderij zijn nog zeer basaal. Er is nog weinig informatie over endotoxine niveaus in de omgeving van veehouderijen:
- Wat zijn de niveaus endotoxine in veehouderij gebied, op korte en grotere afstand van veehouderijen en gedurende kortere duur, van bijvoorbeeld hogere emissies vanuit een bedrijf?
- Zijn er verschillen in emissies te verwachten van de verschillende typen veehouderij?(pluimvee, varkens, runderen). Deze vraag kan op grond van de huidige beperkte inzichten met ja worden beantwoord, maar het kwantitatieve inzicht is nog beperkt. De beperkte beschikbare metingen laten zien dat vooral rond pluimveebedrijven hogere niveaus worden gevonden tot op afstanden van 50-150 meter van de uitlaat van het stalventilatiesysteem. Rond varkenshouderijen worden ook hogere niveaus gevonden, maar minder verhoogd dan rond pluimveebedrijven. Rundveebedrijven dragen maar beperkt bij aan de endotoxinebelasting van de omgeving.
- Kunnen deze niveaus leiden tot gezondheidseffecten bij omwonenden van veehouderijen? Op dit moment zijn met name de emissies van veehouderijen voor fijnstof en geur gereguleerd. De Gezondheidsraad heeft een voorstel voor een grenswaarde voor endotoxine in de buitenlucht (op leefniveau) gegeven van 30 EU/m3. Een belangrijke vervolgvraag is tot welke afstanden vanaf het bedrijf endotoxineniveaus boven deze 30 EU/m3 voor kunnen komen, wat niveaus zijn in gebieden met relatief hoge veehouderijdichtheid, en of dit extra regulering voor endotoxine noodzakelijk maakt.
Kennislacunes voor verspreidingsmodellen
Op basis van gegevens over de uitstoot aan fijnstof kunnen zogenaamde verspreidingsmodellen met informatie over de meteorologie (windrichting, windsnelheid) en de emissiesterkte de bijdrage van de veehouderij aan de fijnstof concentratie berekenen. Deze modelberekeningen vinden plaats aan de hand van gemiddelde emissies. Er wordt geen rekening gehouden met variatie in de emissie door bijvoorbeeld verschillen in de uitstoot op verschillende momenten in de productiecyclus. Er zijn bijvoorbeeld aanwijzingen dat bij all-in all-out bedrijven, waar dieren met dezelfde leeftijd gelijk binnenkomen en ook tegelijk weer worden afgevoerd (bijvoorbeeld vleeskuikens), er hoge emissies voorkomen aan het eind van de cyclus als de dieren groter zijn, en bij het legen van de bedrijven en het op transport zetten van de dieren. Maar het gevolg van die kortstondige blootstelling aan extra hoge concentraties voor omwonenden is niet goed onderzocht. Hierin bestaat nog weinig inzicht. Wel is bekend dat de emissies van stof in de stal van vleeskuiken bedrijven sterk toenemen gedurende de cyclus.
Toetsing aan normen voor fijnstof – en mogelijk in de toekomst endotoxinen - rond vergunningverlening en ruimtelijke plannen is gebaseerd op verspreidingsmodellen. De input van deze modellen en ook onderdelen van deze modellen zelf zijn vaak niet gevalideerd. Er bestaan veel onzekerheden rondom de toepassing van verspreidingsmodellen, rondom een aantal “ingebakken” problemen bij het gebruik van verspreidingsmodellen in het beleid die eigenlijk op een praktische manier opgelost moeten worden. Tot nu toe wordt bijvoorbeeld niet systematisch gekeken naar additie van meerdere vergelijkbare bronnen (cumulatief effect) en variatie van de bronsterkte door cycli in de agrarische productie. Daarnaast is bekend dat endotoxinen regelmatig voorkomen in grotere deeltjes dan PM10. Wat heeft dat voor gevolgen voor de verspreiding en de blootstelling van omwonenden? Inzicht hierin is beleidsmatig relevant omdat het tot andere toepassing van de nu gehanteerde beleidsinstrumenten kan leiden en tot een betere koppeling tussen beleid en werkelijk gezondheidsrisico leidt.
Zijn er lopende onderzoeken om de kennishiaten op te lossen?
Het onderzoek "Veehouderij en Gezondheid van Omwonenden (VGO)" is in 2014 in Nederland van start gegaan. Deze studie is een vervolg op de "Intensieve Veehouderij en Gezondheid (IVG) studie die diverse aanwijzingen gaf voor potentiële gezondheidsrisico’s. De resultaten van de VGO-studie zijn nu bekend, maar de onderzoekers die participeerden in de VGO-studie hebben al aangegeven dat een aantal vervolgstudies later in 2016 zullen worden gepubliceerd.
Daarnaast zijn er lopende studies rond endotoxinen blootstelling. Er is op dit moment geen onderzoekinformatie beschikbaar die aangeeft in welke situaties deze grenswaarde wordt overschreden en of in het gebied tussen de 30 en 90 EU/m3 ook werkelijk gezondheidseffecten voorkomen bij omwonenden van veehouderijen. Verwacht wordt dat op een termijn van 1 tot 2 jaar hier meer informatie over beschikbaar komt.
Nederlandse studies; de IVG- en de VGO-studies
IVG-studie
In de eerste systematische Nederlandse studie onder omwonenden van veehouderijbedrijven (IVG-studie) is conform de wetenschappelijke literatuur gevonden dat mensen die in de buurt van veehouderijen wonen minder astma en hooikoorts lijken te hebben. Deze positieve bevindingen moeten worden afgezet tegen de waarneming dat mensen met COPD en astma die in veehouderijgebieden wonen ook meer longontstekingen hebben en verergeringen van hun ziekte lijken te hebben (exacerbaties). Het gaat dus om complexe verbanden, waarbij de voordelige effecten goed moeten worden afgewogen tegen de nadelige effecten (Heederik en IJzermans, 2011). Daarnaast zijn in de IVG-studie aanwijzingen gevonden dat onder omwonenden van pluimveebedrijven vaker longontstekingen voorkomen.
Uitkomsten van de VGO studie
De VGO-studie is uitgevoerd in het oosten van Noord-Brabant en het noorden van Limburg. In de studie zijn opnieuw (geanonimiseerde) gegevens van huisartsen over ongeveer 110.000 patiënten bekeken. Daarnaast is een vragenlijst ingevuld door ongeveer 12.000 mensen en hebben bijna 2.500 mensen meegedaan aan een medisch onderzoek (bloed, longfunctietest). Er zijn een aantal belangrijke uitkomsten die betrekking hebben op effecten op de luchtwegen:
1. Minder astma en allergie rondom veehouderijen.
Het VGO-onderzoek bevestigt de eerdere bevindingen dat astma en allergische rhinitis (neusallergieën) significant minder voorkomen bij mensen die op korte afstand (enkele honderden meters) wonen van veehouderijen. Voor allergisch astma en andere allergieën was al langer bekend dat deze minder vaak voorkomen bij mensen die op een boerderij zijn opgegroeid. Uit dit onderzoek blijkt dat dit ook geldt voor mensen die op korte afstand van een veehouderij wonen.
2. COPD en verergering van klachten.
Wanneer bewoners van het gehele VGO-gebied worden vergeleken met bewoners van andere landelijke gebieden met weinig veehouderij dan komt COPD bijna evenveel voor. Echter, dichtbij veehouderijbedrijven wonen minder COPD-patiënten. COPD-patiënten die dichtbij of in de buurt van een of meer veehouderijen wonen, hebben een verhoogd risico op complicaties van hun ziekte. Ook gebruiken deze mensen vaker luchtwegmedicatie (figuur 5a+b). Deze bevinding komt in meerdere vormen van analyses naar voren. COPD-patiënten blijken dus een belangrijke risicogroep voor luchtweg-gerelateerde gezondheidseffecten in relatie tot veehouderijen.
Figuur 5a+b. De relatie tussen minimale afstand tot een veehouderijbedrijf en piepen op de borst bij COPD-patiënten. Op korte afstand van veehouderijbedrijven worden meer luchtwegklachten gezien dan op grotere afstand van veehouderij- bedrijven na correctie voor leeftijd, rookgewoonte en geslacht.
3. Verminderde longfunctie door wonen rond veehouderij.
Uit het VGO-onderzoek komen aanwijzingen naar voren dat het wonen in de buurt van veehouderijen een nadelig effect heeft op de longfunctie. De verlaging van de longfunctie wordt gevonden bij mensen die veel veehouderijen in hun directe omgeving hebben, vooral bij de groep met 15 of meer bedrijven binnen een kilometer afstand. Deze bevinding vormt een bevestiging van de resultaten die in de studie van Radon e.a., zijn gevonden. Dit verband hangt vooral samen met het aantal veehouderijen rond de woning en niet duidelijk met specifieke veehouderijtypen. Het meest waarschijnlijk is dat deze longfunctieveranderingen samenhangen met de blootstelling aan stof en micro-organismen (endotoxine) direct rond de veehouderijbedrijven.
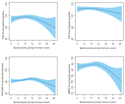
In figuur 6a-d zijn associaties weergegeven tussen het aantal veehouderijen in een straal van 1.000 meter rond de woning en pre-bronchodilator longfunctie (FEV1, FVC, Tiffeneau index (FEV1/FVC), MMEF, gecorrigeerd voor leeftijd, rookgewoonte en geslacht (p-waarden respectievelijk 0,08, 0,35, 0,11 en 0,04). Het FEV1 is het 'geforceerde één seconde volume', de hoeveelheid lucht die in een seconde maximaal wordt uitgeblazen, de MMEF is de 'Mid-expiratoire flow', de gemiddelde stroomsnelheid van geforceerd uitgeademde lucht, de FVC is de vitale capaciteit, de maximale hoeveelheid lucht die wordt uitgeblazen na volledige geforceerde uitademing. Met name de verlaging van het FEV1, de ratio van FEV1 en FVC (Tiffeneau index) en MMEF bij omwonenden met veel bedrijven rond de woning geven een beeld dat wijst op luchtwegobstructie (vermindering van de uitstroomsnelheid van de lucht door vernauwing van de luchtwegen). Er wordt vrijwel geen effect op de FVC gevonden, dit wordt ook niet verwacht als vooral effecten worden verwacht die samenhangen met luchtwegobstructie.
Figuur 6a-d. Associaties tussen het aantal veehouderijen in een straal van 1.000 meter rond de woning en pre-bronchodilator longfunctie.
4. Een verhoogde concentratie ammoniak in de lucht, afkomstig van de veehouderij, hangt samen met een verlaging van de longfunctie.
De metingen van ammoniak zijn gedaan met het landelijk meetnet. Waarschijnlijk is het niet het ammoniak zelf dat dit gezondheidseffect veroorzaakt, maar is de ammoniak een indicator van het mengsel landbouwemissies in de lucht. Verhoogde concentraties ammoniak leiden ook tot verhoogde concentraties secundair fijnstof. Het is niet uit te sluiten dat secundair fijnstof de longfunctiedalingen veroorzaakt. Omdat ammoniak en secundair fijnstof zich over grote afstanden verplaatsen, is dit verband niet specifiek voor het VGO-gebied. Zo kan het zijn dat het ammoniak en secundair fijnstof uit andere gebieden komt aanwaaien. En andersom kan de verspreiding vanuit het VGO-gebied tot effecten daarbuiten leiden.
De negatieve gezondheidseffecten die gevonden zijn ten tijde van de verhoogde concentraties ammoniak in de lucht zijn in omvang vergelijkbaar met de negatieve gezondheidseffecten die in stedelijke populaties worden gevonden als gevolg van verkeersblootstelling. In het VGO-gebied is niet gekeken naar andere gezondheidsrisico’s die al eerder met fijnstof in verband zijn gebracht waaronder hart- en vaatziekten.
5. Longontsteking.
In het IVG-onderzoek werd aangetoond dat longontstekingen vaker voorkwamen in het oostelijk deel van Noord-Brabant en het noordelijk deel van Limburg dan in andere landelijke gebieden met minder veehouderijen. Dat onderzoek viel echter samen met de uitbraak van Q-koorts (2007-2009), waarbij longontsteking een veelvoorkomende complicatie is. In het VGO-onderzoek worden in de jaren na de Q-koortsepidemie (2010-2013) nog steeds meer longontstekingen gezien in het onderzoeksgebied, maar het verschil met andere landelijke gebieden is wel kleiner. In de huisartsengegevens is ook een relatie te zien tussen het wonen in de buurt van een pluimveehouderij en longontsteking voor de jaren 2009-2013. Een verhoging van het risico op een longontsteking wordt gevonden voor omwonenden die binnen een straal van ongeveer 1 km van pluimveebedrijven wonen.
Per 100.000 bewoners in het VGO-gebied worden jaarlijks ongeveer 1.500 gevallen van longontsteking verwacht. Daarvan zijn er naar schatting 150 (10%, zie figuur 7) vermijdbaar bij afwezigheid van pluimveebedrijven. Er zijn sterke aanwijzingen dat fijnstof en componenten ervan mensen gevoeliger maken voor infecties (Hoek et al. 2013). Maar, specifieke ziekteverwekkers afkomstig van dieren kunnen op dit moment niet volledig worden uitgesloten.
Naast een effect van pluimveebedrijven op het risico op longontsteking kan niet worden uitgesloten dat andere vormen van veehouderij ook tot een verhoging van het risico leiden. De verschillen in afstanden tussen woning en verschillende veehouderijbedrijven in de VGO-studie is mogelijk te gering om dit effect op te pakken, onder meer voor andere vaker voorkomende veehouderijbedrijven dan pluimvee. De verschillen in voorkomen van longontsteking tussen VGO-gebied en landelijk gebied kunnen niet door de aanwezigheid van pluimveebedrijven alleen worden verklaard. Dit wijst op een mogelijke rol van andere typen veehouderijbedrijven op het longontstekingsrisico. Op basis van de huisartsengegevens van 2010-2013 en woonafstand tot het dichtstbijzijnde geitenbedrijf wordt geen relatie gevonden tussen het wonen in de buurt van geitenbedrijven en longontsteking. Onder de ongeveer 2.500 deelnemers van het medisch onderzoek binnen VGO wordt wel een verband gevonden tussen longontstekingen en het wonen in de buurt van geitenbedrijven, maar het betreft een zeer beperkt aantal gevallen. Er is geen goede verklaring voor de gevonden relatie tussen longontstekingen en geitenbedrijven, daarom vinden er nog nadere analyses plaats, maar alle signalen samen vormen geen duidelijke aanwijzing tussen de aanwezigheid van geitenbedrijven en longontsteking.
Samenvattend zijn er effecten in VGO-gebied gevonden die samenhangen met het wonen in nabijheid van veehouderijbedrijven. Deze (ruimtelijke) effecten (longfunctieveranderingen en longontsteking specifiek rond pluimveebedrijven) hangen vermoedelijk vooral met primair fijnstof emissies samen. Het verband tussen een lagere longfunctie en dagen met hoge ammoniakniveaus in de lucht (temporele effecten) hangt naar alle waarschijnlijkheid samen met secundaire fijnstof vorming en effecten van blootstelling aan secundair fijnstof.
Figuur 7. Extra kans op een longontstekingdiagnose door de huisarts in relatie tot afstand van een pluimveebedrijf (0,10 = 10%). De rode lijn geeft de beste uitkomst van de analyse weer, de blauwe lijn is de meest gelijkmatige weergave die binnen de analyse past.
Verder lezen
- Bert Brunekreef, Roy M Harrison, Nino Künzli, Xavier Querol, Mark A Sutton, Dick J Heederik, Torben Sigsgaard (2015). Reducing the health impact of airborne particles - the role of ammonia emissions from agriculture. Lancet respiratory medicine, accepted for publication.
- Chen SY, Lin YL, Chang WT, Lee CT, Chan CC (2014). Increasing emergency room visits for stroke by elevated levels of fine particulate constituents. Science of the Total Environment, 473-474: 446-450.
- Dossier Fijnstof. RIVM (Rijksinstituut voor Volksgezondheid en Milieu), Bilthoven, 2013.
- Dusseldorp A, Maassen CBM, Heederik DJJ, Fischer PH. Veehouderij en gezondheid : Update van kennis over werknemers en omwonenden. RIVM Rapport 2015-0135.
- EC. Proposal for a directive of the European Parliament and of the Council on the reduction of national emissions of certain atmospheric pollutants and amending Directive 2003/35/EC. Brussels: European Commission 2013.
- Gezondheidsraad (2010) Endotoxinen: health based recommended exposure limit. Den Haag.
- Gezondheidsrisico’s rond veehouderijen. Gezondheidsraad, Den Haag, November 2012.
- Heederik D, J IJzermans (eds). Mogelijke effecten van intensieve veehouderij op de gezondheid van omwonenden. IRAS (Institute for Risk Assessment Sciences ), NIVEL (Nederlands Instituut voor Onderzoek van de Gezondheidszorg), RIVM, Utrecht, 2011.
- Heederik D, Sigsgaard T, Thorne PS, Kline JN, Avery R, Bonlokke JH, Chrischilles EA, Dosman JA, Duchaine C, Kirkhorn SR, Kulhankova K, Merchant JA. Health effects of airborne exposures from concentrated animal feeding operations. Environmental health perspectives 2007;115:298-302.
- Hendriks C, Kranenburg R, Kuenen JPP, van Gijlswijk Wichink Kruit RJ, Segers AJRN, Denier van der Gon HAC and Schaap M. The origin of ambient particulate matter concentrations in the Netherlands. Atmos Environ 2013; 69: 289-303.
- Hoek G, Brunekreef B, Verhoeff A, van Wijnen J, Fischer P (2000). Daily mortality and air pollution in The Netherlands. J Air Waste Manag Assoc, 50, 1380-1389.
- Hoek G, Krishnan RM, Beelen R, Peters A, Ostro B, Brunekreef B, et al. (2013), Long-term air pollution exposure and cardio- respiratory mortality: a review. Environmental health : a global access science source. 2013;12(1):43. Epub 2013/05/30.
- Hoopmann M, Hehl O, Neisel F, Werfel T. [associations between bioaerosols coming from livestock facilities and asthmatic symptoms in children]. Gesundheitswesen 2006;68:575-584.
- Lelieveld J, J Evans, M Fnais, D Giannadaki, A Pozzer. The contribution of outdoor air pollution sources to premature mortality on a global scale. Nature, 2015; 525: 367-371.
- Loftus C, Yost M, Sampson P, et al. (2015a). Regional PM2.5 and asthma morbidity in an agricultural community: a panel study. Environmental Research, 136, 505-512.
- Loftus C, Yost M, Sampson P, et al. (2015b). Ambient ammonia exposures in an agricultural community and pediatric asthma morbidity. Epidemiology, 26, 794-801.
- Maassen K, Smit L. Wouters I, van Duijkeren E, Janse I, Hagenaars T, IJzermans J, van der Hoek, Heederik D. Veehouderij en gezondheid omwonenden. RIVM, IRAS UU (Universiteit Utrecht), NIVEL WUR (Wageningen University &Research), Bilthoven 2016.
- Milieuloket: http://www.milieuloket.nl/9353000/1/j9vvhurbs7rzkq9/vhurdyxr08mj (laatst geraadpleegd 02-02-2016).
- Ogink, N.W.M. en Erbrink, J.J. (eindredactie), 2016. Emissies van endotoxinen uit de veehouderij: emissiemetingen en verspreidingsmodellering [Emissions of endotoxins from animal production: emission measurements and dispersion modelling]. Wageningen Livestock Research Rapport 959
- Radon K, Schulze A, Ehrenstein V, van Strien RT, Praml G, Nowak D (2007). Environmental exposure to confined animal feeding operations and respiratory health of neighboring residents. Epidemiology, 18: 300-308.
- Rich DQ, Ozkaynak H, Crooks J, et al. (2013). The trigge¬ring of myocardial infarction by fine particles is enhan¬ced when particles are enriched in secondary species. Environmental Science & Technology, 47, 9414-9423.
- Schinasi L, Horton RA, Guidry VT, Wing S, Marshall SW, Morland KB. Air pollution, lung function, and physical symptoms in communities near concentrated swine feeding operations. Epidemiology 2011;22:208-215.
- Smit LA, van der Sman-de Beer F, Opstal-van Winden AW, Hooiveld M, Beekhuizen J, Wouters IM, Yzermans J, Heederik D. Q fever and pneumonia in an area with a high livestock density: A large population-based study. PloS one 2012;7:e38843.
- Smit LA, Hooiveld M, van der Sman-de Beer F, et al. (2014). Air pollution from livestock farms, and asthma, allergic rhinitis and COPD (Chronic Obstructive Pulmonary Disease (Chronische Obstructieve Long Ziekte). ) among neighbouring residents. Occupational and Environmental Medicine, 71, 134-140.
- Smit LA, Boender GJ, de Steenhuijsen Piters WAA, et al. (2016). Increased risk of pneumonia in residents living near poultry farms: does the upper microbiota play a role? American Journal of Respiratory and Critical Care Medicine.
- Strickland MJ, Klein M, Flanders WD, et al. (2014). Modification of the effect of ambient air pollution on pediatric asthma emergency visits: susceptible subpopu¬lations. Epidemiology, 25, 843-850.
- WHO (World Health Organization (Wereldgezondheidsorganisatie) ). Review of evidence on health aspects of air pollution – REVIHAAP Project: WHO Regional Office for Europe; 2013.
- Winkel A, IM Wouters, AJA Aarnink, DJJ Heederik, NWM Ogink. Emissies van endotoxinen uit de veehouderij: een literatuurstudie voor ontwikkeling van een toetsingskader. WUR IRAS UU, September 2014.
- Winkel, A. en Wouters, I. (eindredactie), 2016. Additionele maatregelen ter vermindering van emissies van bioaerosolen uit stallen: verkenning van opties, kosten en effecten op de gezondheidslast van omwonenden, Livestock Research Rapport 949.